近日,suncitygroup太阳集团教师通雁辉在中科院SCI一区Top期刊《Information Sciences》上发表题为《Event-triggered quasi-time-varying H∞ filtering for switched systems via multiple trigger-dependent Lyapunov functionals》的最新研究成果。该项研究受国家留学基金资助,为通雁辉老师在德国Duisburg-Essen大学访学期间所开展的部分工作,论文合作者之一为该校终身教授兼自动控制与复杂系统研究所所长Steven X. Ding教授。
该研究主要针对切换系统的事件触发滤波问题提出一种基于切换脉冲系统框架的准时变滤波器设计方法,通过创造性地构造多触发器依赖Lyapunov泛函有效降低了设计的保守性。并且,将准时变滤波器参数的求解问题描述为一个基于Sum of Squares的优化问题。最后,通过将该方法应用于一个变形飞行器动力学模型,充分验证了其有效性和工程应用潜力。


图1 多触发器依赖Lyapunov函数 图2 触发诱导的对象和滤波器异步切换信号


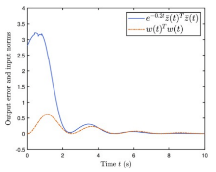
图3 滤波误差响应及H∞性能 图4 调度参数变化及触发机制实施过程
通雁辉老师主要致力于切换控制、模型预测控制理论及其在机器人及飞行器中的应用研究,已培养硕士研究生4名,其中1名研究生考取华南理工大学博士,指导研究生发表SCI论文6篇。曾指导研究生参加第十八届中国研究生电子设计竞赛技术类竞赛获得全国三等奖,本人获评上海赛区优秀指导教师;指导研究生参加第十九届中国研究生电子设计竞赛华为企业专项赛获得全国三等奖。

